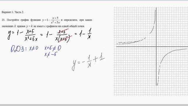
Вариант 1 часть 2 алгебра Лысенко ОГЭ 2020

Группа в ВК: Вариант 1 часть 2 алгебра Лысенко ОГЭ 2020 Подготовка к ОГЭ 2020.
Задания для 9 класса.
Лысенко ОГЭ математика 2020 Ященко 36 типовых вариантов ОГЭ по математике ОГЭ математика 2020 ОГЭ 2020 Ященко ОГЭ математика 2020 Математика 9 класс Подготовка к ОГЭ 2020 ОГЭ Сдать ОГЭ по математике ОГЭ алгебра ОГЭ геометрия ФИПИ ОГЭ



Видео подборки:

Похожее видео

Данную страницу никто не комментировал. Вы можете стать первым.
Введите символы или вычислите пример:
captcha

⇒Расскажите об этом видео Вариант 1 часть 2 алгебра Лысенко ОГЭ 2020, своим друзьям в социальных сетях.


Ссылка на страницу с видео:

HTML-ссылка на страницу с видео:

Код для вставки плеера:

*16 Ноября 2022, 14:25 | Борис Пишет: Выглядит крайне ненадёжно. Судя по тому, что инфы о подобных машинах нет, они себя не зарекомендовали на испытаниях. Все-таки перевозить на жд платформах видимо дешевле и технологические проще... Подробнее...


*15 Ноября 2022, 20:56 | Анна Пишет: Да, заинтриговали. Захотелось проехать на этом автомобиле и посмотреть, наверняка будет интересно. Спасибо за идею. Наверное. не зимой, а летом точно надо съездить, расширить кругозор. ... Подробнее...


*16 Ноября 2022, 06:03 | Виктор Пишет: Для многих это просто симпатичная машина из прошлого, хотя на самом деле это качественный и правильно сделанный автомобиль. Если взглянуть на переднюю часть, то можно заметить, что она заострена, что помогает воздуху разрезаться и сопротивления не давать. Умно. ... Подробнее...


*16 Ноября 2022, 09:30 | Стас Пишет: Это как другой мир. Столько моделей из прошлого. Выглядят они по разному. Для тех кто в возрасте они навевают ностальгию, а для молодых это просто старые модели без иноваций и наворотов.... Подробнее...


*16 Ноября 2022, 11:06 | Юра Пишет: Машина легенда своей эпохи. Это сейчас она смотриться не очень, но в свое время это был прорыв. Простая и надежная машина для людей. Вроде хотят возродить этот бренд под новым авто.... Подробнее...


*15 Ноября 2022, 21:06 | Макар Пишет: Гениальное просто. Сделано быстро, а смотрится правда, как будто авто вылетело из смартфона и сейчас поедет куда-то. Эффектно, за это люблю фотошоп, в грамотных руках он бесподобен. ... Подробнее...


*15 Ноября 2022, 20:42 | Лиза Пишет: Как по мне, прикольное слайд-шоу, удачно подобраны фотографии и монтаж, в принципе, неплохой. Смотреть интересно, даже жаль, что ролик такой коротенький. В общем, мне понравилось.... Подробнее...


*16 Ноября 2022, 08:23 | Татьяна Пишет: Крутые коврики! Тоже такие используем.... Подробнее...