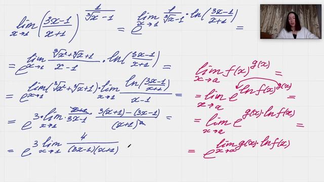
Как найти предел. Использование экспоненты для нахождения предела. Второй замечательный предел

Показываю еще один способ вычислить предел если функция возводиться в сложную степень 00:00 -- 1 способ через экспоненту 07:24 -- 2 способ через второй замечательный предел



Видео подборки:

Похожее видео

Данную страницу никто не комментировал. Вы можете стать первым.
Введите символы или вычислите пример:
captcha

⇒Расскажите об этом видео Как найти предел. Использование экспоненты для нахождения предела. Второй замечательный предел, своим друзьям в социальных сетях.


Ссылка на страницу с видео:

HTML-ссылка на страницу с видео:

Код для вставки плеера:

*16 Ноября 2022, 14:08 | Юлия Пишет: Очень зажигательная песня с обворожительными девушками. Клип снят качественно и профессионально. Впервые услышала эту песню и влюбилась, теперь на повторе, пока не надоест) ... Подробнее...


*16 Ноября 2022, 06:03 | Виктор Пишет: Для многих это просто симпатичная машина из прошлого, хотя на самом деле это качественный и правильно сделанный автомобиль. Если взглянуть на переднюю часть, то можно заметить, что она заострена, что помогает воздуху разрезаться и сопротивления не давать. Умно. ... Подробнее...


*15 Ноября 2022, 21:01 | Егор Пишет: Как будто перенесся в те времена, когда снимали "Кавказскую пленницу" Прямо ностальгия захватила, а перед глазами пронеслись кадры из фильма. Спасибо за такой классный ролик!... Подробнее...


*16 Ноября 2022, 08:23 | Татьяна Пишет: Крутые коврики! Тоже такие используем.... Подробнее...


*16 Ноября 2022, 22:18 | Анастасия Ворох Пишет: Насколько же изящная машина, вот умели раньше делать эксклюзивы конечно. Чего стоит эта форма и салон, сразу чувствуется всё великолепие того времени! Цвет довольно приятный, видно очень грамотный уход производится за машиной.... Подробнее...


*16 Ноября 2022, 09:45 | Дима Пишет: А мне нравятся ретро автомобили. По сути это наша история и целая эпоха. По сути они отражают то время и вбирают в себя все что было в те времена. Каждая эпоха дает свое отражение на авто и их дизайне.... Подробнее...


*15 Ноября 2022, 20:35 | Александр Пишет: Интересное, познавательное видео. А виды то какие тут чудесные, просто как в сказке. Так хочется самой туда перенестись и сделать пару кадров на память!... Подробнее...


*15 Ноября 2022, 20:47 | Виктор Пишет: Как же мне нравятся подобные советские легковые автомобили! ЗИЛ-111 - один из любимых моих авто, имеет свой колорит, свою историю и безумную красоту! Если бы у меня пал выбор на современную машину и ЗИЛ-111, то я без сомнений выбрал бы... Подробнее...