Разбор Задачи 15 из Варианта Ларина 296 РЕШУ ЕГЭ 530910

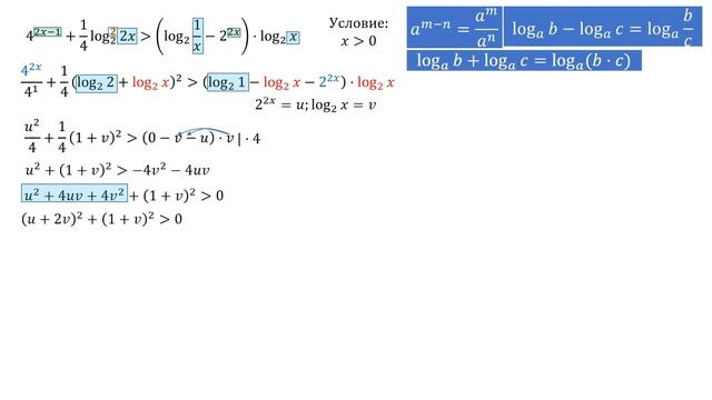
42?114 log_222? больше log_21?22? log_2? Сдать деньги на новые видео можно сюда: КартаСбер: 4274 2780 8882 0496 Подпишись: Вопросы и личные обращения направлять сюда:



Видео подборки:

Похожее видео

Данную страницу никто не комментировал. Вы можете стать первым.
Введите символы или вычислите пример:
captcha

⇒Расскажите об этом видео Разбор Задачи 15 из Варианта Ларина 296 РЕШУ ЕГЭ 530910, своим друзьям в социальных сетях.


Ссылка на страницу с видео:

HTML-ссылка на страницу с видео:

Код для вставки плеера:

*15 Ноября 2022, 20:58 | Юрий Пишет: На фоне тумана авто выглядят не просто загадочно, но и так, как будто они вышли из тумана прошлого. И музыку подобрали такую атмосферную, немного даже пугающую. Интересно было посмотреть. ... Подробнее...


*16 Ноября 2022, 00:47 | Алина Пишет: Какое интересное фото! Люблю такие атмосферные фотографии, которые передают рабочий процесс . Да еще с таким ракурсом, который нечасто встретишь. Спасибо фотографу за кадр..... Подробнее...


*15 Ноября 2022, 21:04 | Алиса Пишет: Красивая машина) Сейчас такую редко встретишь, особенно в больших городах.. Жаль, что их больше не выпускают, я бы купила точно. Компактная, аккуратная - чем не радость!... Подробнее...


*16 Ноября 2022, 22:18 | Анастасия Ворох Пишет: Насколько же изящная машина, вот умели раньше делать эксклюзивы конечно. Чего стоит эта форма и салон, сразу чувствуется всё великолепие того времени! Цвет довольно приятный, видно очень грамотный уход производится за машиной.... Подробнее...


*15 Ноября 2022, 20:36 | Александр Пишет: Всегда было интересно углубится и посмотреть как работают маркетплейсы, как подбирают фото. Вот наконец попалось мне живое видео! Прикольно смотрится!... Подробнее...


*15 Ноября 2022, 21:06 | Макар Пишет: Гениальное просто. Сделано быстро, а смотрится правда, как будто авто вылетело из смартфона и сейчас поедет куда-то. Эффектно, за это люблю фотошоп, в грамотных руках он бесподобен. ... Подробнее...


*16 Ноября 2022, 09:45 | Дима Пишет: А мне нравятся ретро автомобили. По сути это наша история и целая эпоха. По сути они отражают то время и вбирают в себя все что было в те времена. Каждая эпоха дает свое отражение на авто и их дизайне.... Подробнее...


*16 Ноября 2022, 20:18 | Олег К. Пишет: Обычная ситуация, когда именно трамвай транспортирует другой трамвай с поломкой в депо. Есть специальная техпомощь на рельсах, но в данном случае в ее роли выступил пассажирский трамвайчик. ... Подробнее...