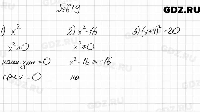
619 - Алгебра 7 класс Мерзляк

Видео решение к номеру 619 по алгебре за 7 класс авторов А.Г.
Мерзляк В.Б.
Полонский М.С.
Якир Более подробное гдз к этому заданию можно найти здесь



Видео подборки:

Похожее видео

Данную страницу никто не комментировал. Вы можете стать первым.
Введите символы или вычислите пример:
captcha

⇒Расскажите об этом видео 619 - Алгебра 7 класс Мерзляк, своим друзьям в социальных сетях.


Ссылка на страницу с видео:

HTML-ссылка на страницу с видео:

Код для вставки плеера:

*16 Ноября 2022, 09:33 | Роман Пишет: Ох, сколько разных мнение о данном авто) В целом машинка не плохая и даже ее двигатель сделан качественно. Подходит девушкам и пенсионерам которые не требовательны к габаритам и марки авто.... Подробнее...


*15 Ноября 2022, 21:18 | Марго Пишет: Не особо разбираюсь в машинах , судить могу только по внешним параметрам , и это очень красивая машина хоть и ретро , было бы классно сделать фотосессию в интересном стиле с такой машиной ) ... Подробнее...


*16 Ноября 2022, 00:50 | Алина Пишет: По-моему таких давно уже нет в ходу нигде, только как музейные экспонаты остались, верно? От фотографии сразу веет таким... винтажом что ли, атмосферой того времени. Уже ретро. ... Подробнее...


*17 Ноября 2022, 03:01 | Валентина Пишет: Жаль конечно что завод не потянул. На самом деле Волга машинка очень хорошая. И даже, пользовалась эта марка большим спросом. ... Подробнее...


*15 Ноября 2022, 20:58 | Соня Пишет: Классная машинка. Мне очень нравится модель. Стильно выглядит и при этом ретро. Все как я люблю. Конечно, хотела бы прокататься на такой, а ещё лучше иметь у себя в гараже. Ценный раритет. ... Подробнее...


*15 Ноября 2022, 20:41 | Саша Пишет: Интересно какие были эмоции людей в 1962 году, когда увидели этот автобус ЛИАЗ-677 впервые... Помимо того, что они осматривали автобус так еще и катались. Тогда, мне кажется, это было неким счастьем! ... Подробнее...


*16 Ноября 2022, 01:04 | Алина Пишет: Не смотря на то, что такой Москвич уже ретро, до сих пор единично встречаю его по стране. Не могу сказать, именно этого года выпуска или ближайших, но очень похож. Непривычная панель такая)... Подробнее...


*15 Ноября 2022, 20:56 | Анна Пишет: Да, заинтриговали. Захотелось проехать на этом автомобиле и посмотреть, наверняка будет интересно. Спасибо за идею. Наверное. не зимой, а летом точно надо съездить, расширить кругозор. ... Подробнее...