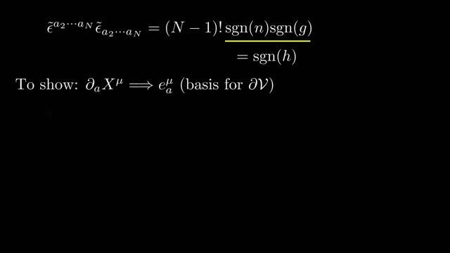
Differential Forms Integration and Stokes Theorem

Beginning with the primitive theory of integration of differential forms I show how integration is defined on a manifold with metric using the natural volume element.
I then use Stokes theorem to derive the curved spacetime version of the divergence theorem.
Examples include conservation laws in general relativity and the result known as Stokes theorem in electrodynamics.



Видео подборки:

Похожее видео

Данную страницу никто не комментировал. Вы можете стать первым.
Введите символы или вычислите пример:
captcha

⇒Расскажите об этом видео Differential Forms Integration and Stokes Theorem, своим друзьям в социальных сетях.


Ссылка на страницу с видео:

HTML-ссылка на страницу с видео:

Код для вставки плеера:

*16 Ноября 2022, 03:27 | Михаил Пишет: Посмотрев на фото мотоколяски, как будто в детство окунулся. У меня дед в те советские годы на такой ездил. Сейчас такие модели считаются раритетными и стоят больших денег для коллекционеров.... Подробнее...


*15 Ноября 2022, 21:41 | Рига Пишет: Так зарождалась эпоха отечественных автомобилей! Раньше умели делать, что наши деды,отцы и сыновья продолжали ездить. В таких машинах есть своя «душа», они хоть и просто выглядят, без разных наворотов, как сейчас. Зато они надежны и привлекают внимание. Хотелось бы вернутся... Подробнее...


*15 Ноября 2022, 20:58 | Соня Пишет: Классная машинка. Мне очень нравится модель. Стильно выглядит и при этом ретро. Все как я люблю. Конечно, хотела бы прокататься на такой, а ещё лучше иметь у себя в гараже. Ценный раритет. ... Подробнее...


*16 Ноября 2022, 06:17 | Виктор Пишет: Интересная видео, только концовка все-таки не совсем понятна. Кстати, девушке не очень-то подходит этот голос, либо она просто не достаточно хорошо попадает в слова. В целом - неплохо.... Подробнее...


*16 Ноября 2022, 14:35 | Игорь Вахрушев Пишет: Красноречивое фото. Сочетание храма, зданий разных эпох, широкого современного проспекта с новейшими на тот момент автомобилями. Здесь же испуганно замершие на пешеходном переходе приезжие. Есть в этом всём большой советский стиль.... Подробнее...


*16 Ноября 2022, 09:33 | Роман Пишет: Ох, сколько разных мнение о данном авто) В целом машинка не плохая и даже ее двигатель сделан качественно. Подходит девушкам и пенсионерам которые не требовательны к габаритам и марки авто.... Подробнее...


*15 Ноября 2022, 21:01 | Егор Пишет: Как будто перенесся в те времена, когда снимали "Кавказскую пленницу" Прямо ностальгия захватила, а перед глазами пронеслись кадры из фильма. Спасибо за такой классный ролик!... Подробнее...


*16 Ноября 2022, 09:45 | Дима Пишет: А мне нравятся ретро автомобили. По сути это наша история и целая эпоха. По сути они отражают то время и вбирают в себя все что было в те времена. Каждая эпоха дает свое отражение на авто и их дизайне.... Подробнее...