умножение и деление смешанных дробей дробей.avi

в данном видео разбирается правило умножения и деления смешанных дробей.
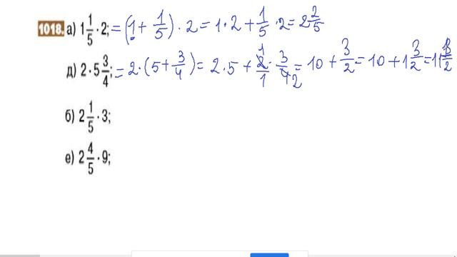
Решение заданий по учебнику Никольского 5 класс



Видео подборки:

Похожее видео

Данную страницу никто не комментировал. Вы можете стать первым.
Введите символы или вычислите пример:
captcha

⇒Расскажите об этом видео Умножение и деление смешанных дробей дробей.avi, своим друзьям в социальных сетях.


Ссылка на страницу с видео:

HTML-ссылка на страницу с видео:

Код для вставки плеера:

*16 Ноября 2022, 15:27 | Артем Пишет: Вот это конструкция)). Никогда ничего подобного раньше не видел. Смешанные чувства вызывает. Как луноход какой-то). Похож на смесь "буханки" , "рафика" и не понятно чего еще. Я бы его головастиком назвал, есть что-то похожее. Было бы здорово, если бы еще... Подробнее...


*16 Ноября 2022, 12:12 | Наталья Пишет: Очень необычное фото. Прям как будто проникаешься атмосферой того времени. Интересно просматривать такие фотографии, представлять как было много лет назад. Редко можно увидеть такие фото.... Подробнее...


*16 Ноября 2022, 08:23 | Татьяна Пишет: Крутые коврики! Тоже такие используем.... Подробнее...


*15 Ноября 2022, 23:40 | Леонид Пишет: Потрясающе. Нет ничего лучше классики. Продумана каждая деталь, форма, цвет. У деда была похожая. Видимо поэтому Волга запала в душу. Чувствую что-то родное, близкое к сердцу, из детства.... Подробнее...


*16 Ноября 2022, 14:16 | Ольга Пишет: Ну не знаю, как насчёт оранжевых в сочетании с чёрным салоном, мне не очень подобные решения... Я бы установила чёрные/серые. А вот сама технология Эво хорошая, мне нравится, просто и недорого. ... Подробнее...


*16 Ноября 2022, 14:35 | Игорь Вахрушев Пишет: Красноречивое фото. Сочетание храма, зданий разных эпох, широкого современного проспекта с новейшими на тот момент автомобилями. Здесь же испуганно замершие на пешеходном переходе приезжие. Есть в этом всём большой советский стиль.... Подробнее...


*15 Ноября 2022, 20:56 | Анна Пишет: Да, заинтриговали. Захотелось проехать на этом автомобиле и посмотреть, наверняка будет интересно. Спасибо за идею. Наверное. не зимой, а летом точно надо съездить, расширить кругозор. ... Подробнее...


*15 Ноября 2022, 20:24 | Александр Пишет: Вот бы на такой прокатиться, шикарная! Наверное интересные ощущения будут если сейчас на ней проехаться) Интересно такие на ходу ещё остались или только в музеях!?! Хотя раньше делали на совесть, так что, вполне возможно! ... Подробнее...