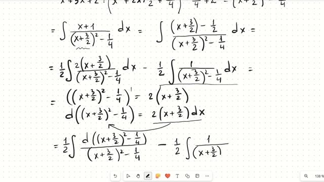
Интегрирование выражений, содержащих квадратный трехчлен Канал: rutube_account_17062624 26.11.2025 Смотреть
Интегрирование по частям Канал: rutube_account_17062624 07.04.2025 Метод интегрирования по частям Смотреть
Интегрированием методом подведения под знак дифференциала Канал: rutube_account_17062624 18.03.2025 Интегралы, метод подведения под знак дифференциала Смотреть
Действия над комплексными числами Канал: rutube_account_17062624 28.02.2025 Арифметические действия над комплексными числами. Тригонометрическая и показательная форма записи комплексного числа. Формула Муавра. Возведение комплек... Смотреть
Комплексные числа Канал: rutube_account_17062624 11.02.2025 Общие понятия о комплексных числах и изображение их на комплексной плоскости. Построение на комплексной плоскости области, заданной неравенствами. Смотреть
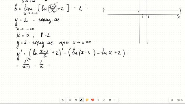
Полное исследование логарифмической функции Канал: rutube_account_17062624 03.12.2024 Проведено полное исследование логарифмической функции Смотреть
ПОЛНОЕ ИССЛЕДОВАНИЕ ПОКАЗАТЕЛЬНОЙ ФУНКЦИИ Канал: rutube_account_17062624 03.12.2024 Проведено полное исследование показательной функции Смотреть
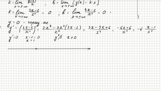
Полное исследование дробно-рациональной функции Канал: rutube_account_17062624 04.11.2024 Полное исследование дробно-рациональной функции Смотреть