Deus Ex Go is awesome and can get really tricky. Watch it break Kevin.
Subscribe! http://www.youtube.com/kindafunnygames?sub_confirmation=1
Support us...
Please rate this product: http://www.junkfoodtaster.com/?p=2146 (plus 5 Images and thousands of more reviews). This ice cream reminds on the Stracciatel...
Taken from NicoVideo
IT'S NOT OVER YET!
After of the End Credits from this awesome game this is a little preview from
The 2nd Super Robot Wars Z: Sais...
Let's Play Moonlighter Gameplay Ep 1
Run your own shop and explore dangerous dungeons!
● Moonlighter Game Download - http://moonlighterthegame.com/
● ...
This Package Includes All of the Crazy Machines Games and DLC's
Download:-
http://www.mediafire.com/download/5rbo78ih98737jn/Crazy+Machines+Ultimate+Pa...
Hi everyone. To sum up the strategy:
Roll Cloaks for "Reduced Alert when opening chests" (3 cloaks is enough since you can swap around)
Try to bring Kar...
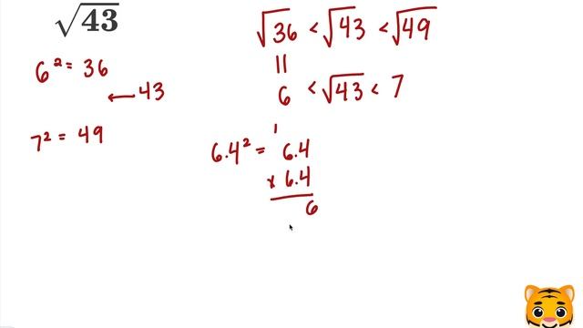
? Step-by-step explanation of how to find the square root of 43.
I'll show you how to simplify the square root, write it in simplest radical form, and ...
Truck Nation ist ein gratis Browserspiel - Multiplayer-Transport und –Strategiespiel, das online sowohl im Browser als auch mobil gespielt werden kann.
...
Another compliation of some stream highlights.
Follow me on Twitch to catch me live! https://www.twitch.tv/shyxy_tv
___________________________________...
You can get this done in less than 3 minutes. This challenge was inspired by Bongeh & Tommy from TwoAngryGamersTV. IO-Interactive had seen their video, ...
Découvrez un extrait de l'acte 2 de Dead Space 3, dans un gameplay commenté par le producteur executif du jeu !
Pour plus d'informations, visitez le sit...