Канал: Геометрия и концептуальное мышление 11.01.2024
Бренд с финским названием и норвежским флагом в качестве лого родом из Италии NAPAPIJRI
Неотъемлемая деталь стиля многих молодежных субкультур кеды CONV...
Канал: Геометрия и концептуальное мышление 11.01.2024
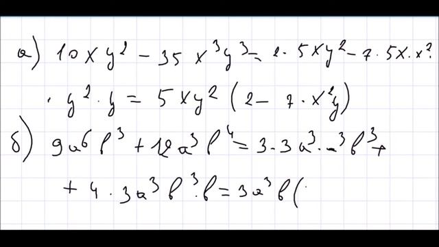
Видео решение к номеру 481 по алгебре за 8 класс, авторов Ю.Н. Макарычев, Н.Г. Миндюк, К.И. Нешков, С.Б. Суворова.
Более подробное гдз к этому заданию ...
Канал: Геометрия и концептуальное мышление 11.01.2024
Видео решение к номеру 860 по математике за 6 класс, авторов Н.Я. Виленкин, В.И. Жохов, А.С. Чесноков
Более подробное гдз к этому заданию можно найти ...
Канал: Геометрия и концептуальное мышление 11.01.2024
Как скачать видео https://www.youtube.com/watch?v=USTrc5NyY0M
Мой основной канал с монтажами
https://www.youtube.com/channel/UCOgzEJpxKxLG9Awbq-ALlug
...
Канал: Геометрия и концептуальное мышление 11.01.2024
Секретная локация в фортнайт Экхотическое оружие фортнайт Где взять оружие в фортнайт
Донат в фортнайт https://goo.su/dyK4JFO
Телеграм https://t.me/om...
Канал: Геометрия и концептуальное мышление 11.01.2024
Павел Марченко "Научные развлечения". Лекция 2 часть
Просто о сложном!
Российская компания ООО "Научные развлечения" более 25 лет разрабатывает и пр...
Канал: Геометрия и концептуальное мышление 11.01.2024
Marivana.ru - Первая Школа на Марсе!
Читайте новости в группе ВК http://vk.com/marivana_ru
Подписывайся на рассылку (для тех, кто хочет быть первым) htt...
Канал: Геометрия и концептуальное мышление 11.01.2024
?Airdrop закончен, актуальные дропы здесь - https://t.me/buss_mca ?
⚡Подпишись на наш канал и поставь Лайк!⚡
?Разверни описание полностью?
✔️ETH-Кошелёк...
Канал: Геометрия и концептуальное мышление 11.01.2024
Resolver un sistema de ecuaciones 2x2 en el que esta implicada una ecuación lineal y una cuadratica. Sistema de ecuaciones dos ecuaciones y dos incógnit...
Канал: Геометрия и концептуальное мышление 11.01.2024
Другие решения смотри тут: https://urokitv.net/
Urokitv.net это школьные учебники и решебники с 1-го по 11-й класс школы. Ждем ваших предложений и пож...