Welcome to "What is a Polygon?" with Mr. J! Need help with polygons? You're in the right place!
Whether you're just starting out, or need a quick refre...
Другие решения смотри тут: https://urokitv.net
Urokitv.net это школьные учебники и решебники с 1-го по 11-й класс школы. Ждем ваших предложений и пожел...
#teacheRobik #goyangDumang #citaCitata
For any inquiries and more updates, do follow us through ??
Instagram : teacherobik_official
Facebook Page : Te...
*Sheet music now available: http://www.tapspace.com/snare-solos/chopstakovich/
WEBSITE: http://sieffmusic.com/ (updated domain)
IG: sieffmusic
A piece...
Видео решение к номеру 125 по математике за 6 класс, авторов Н.Я. Виленкин, В.И. Жохов, А.С. Чесноков, С.И. Шварцбурд.
Более подробное гдз к этому задан...
Ностольгия это великолепно, особенно с гаджетами
Мой телеграмм-http://t.me/ogonek_d_a
Донат-https://www.donationalerts.com/r/arsuxad
00:00 Начало
00:37...
✅Подписывайся! На канале много полезного!
Купить камуфляжную сетку:
http://alii.pub/67l2gx
http://alii.pub/67l1co
http://alii.pub/67l2cg
Купить костюм л...
Complete a series of order of operations problems, including expressions with variables.
Watch the next lesson: https://www.khanacademy.org/math/algebr...
Как читать в китайской нотно-цифровой системе музыкальные произведения на флейте dizi. Вступайте в группу, посвященную dizi: https://vk.com/clubflutedizi
В данном видео представлены приманки Стримеры, предназначенные для ловли хищной рыбы (щука, судак, окунь)
Стример имитирует рыбку. По живучести в отноше...
Brotato - игра про Картошку и её аркадные драйвовые и экшонистые сражения на арене :з
Подписывайтесь на канал и пожалуйста не забывайте оценивайте виде...
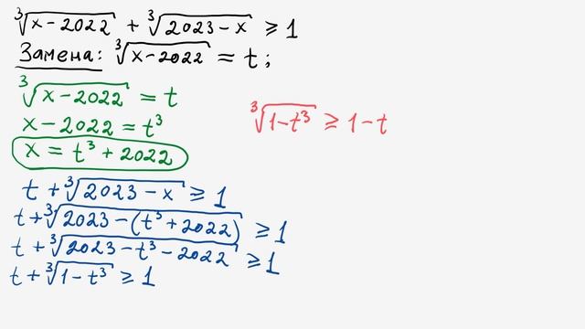
Всех приветствую и поздравляю с наступающим новым годом! В честь этого праздника я составил данное неравенство, а также предложил свой вариант его решен...
These are the MCQs done based on the topics of the chapter Fractions and Decimals. These type of sums help students understanding the base of the topics...
?? https://t.me/gta5primecom - раздача ништяков от сервера PRIME в GTA V RP перед его СТАРТОМ
?♂️ https://t.me/DWSinTelegram - ссылка на Подполье - наш...