Канал: Геометрия для школьных чемпионов: тренировки и соревнования 11.01.2024
Сравните числа. При сравнении используются простые преобразования, а также потребуется неравенство Бернулли.
Обязательно посмотри мои видео:
Обязательн...
Канал: Геометрия для школьных чемпионов: тренировки и соревнования 11.01.2024
Season 1 of Uncle Samsonite: The Series in its entirety and conveniently combined into one short movie. Enjoy.
Subscribe: https://www.youtube.com/c/Jak...
Канал: Геометрия для школьных чемпионов: тренировки и соревнования 11.01.2024
В данном видео хочу рассказать вам о своей небольшой коллекции старых-ретро телефонов. Вообще как будет сказано в видео, восстановление и коллекциониров...
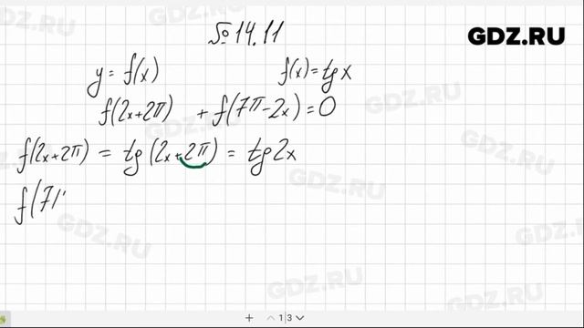
Канал: Геометрия для школьных чемпионов: тренировки и соревнования 11.01.2024
Видео решение к номеру 14.11 по алгебре за 10-11 класс, автор А.Г. Мордкович
Более подробное гдз к этому заданию можно найти здесь https://gdz.ru/class-...
Канал: Геометрия для школьных чемпионов: тренировки и соревнования 11.01.2024
4 мая выехали с сыном закрыть охоту по селезням и сходить на глухариный ток, селезни не пострадали, а глухарь был добыт.
Дзен: zen.yandex.ru/video/watc...
Канал: Геометрия для школьных чемпионов: тренировки и соревнования 11.01.2024
Переработанные аудиофайлы курса английского языка Forward 8 класс, автор Вербицкая М.В. и соавторы.
Данные видео позволят вам готовиться к урокам англий...
Канал: Геометрия для школьных чемпионов: тренировки и соревнования 11.01.2024
Привет, друг мой. Попробуй без ошибок дойти до конца математической цепочки. Ставь лайк, если у тебя получилось.
УСКОРИТЬ ПРОЦЕСС СОЗДАНИЯ НОВОГО ВИДЕО...
Канал: Геометрия для школьных чемпионов: тренировки и соревнования 11.01.2024
#3.8 y'=-1/z, z'=1/y [Differential Equations]#Demidovich, #демидович
Проверить, являются ли эти уравнения решениями системы,
Check if these equations ar...
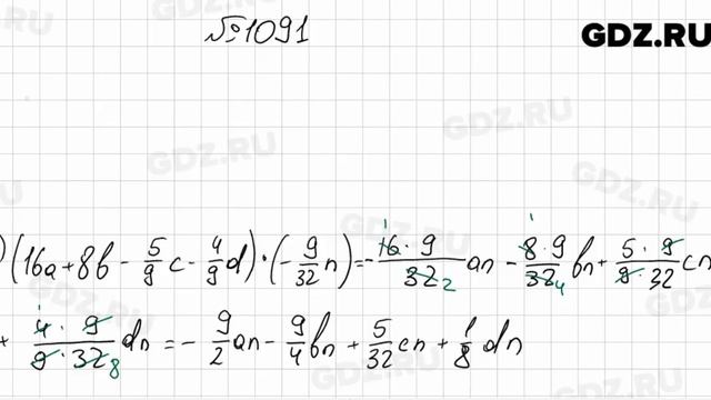
Канал: Геометрия для школьных чемпионов: тренировки и соревнования 11.01.2024
Видео решение к номеру 1091 по математике за 6 класс, авторов А.Г. Мерзляк, В.Б. Полонский, М.С. Якир
Более подробное гдз к этому заданию можно найти з...
Канал: Геометрия для школьных чемпионов: тренировки и соревнования 11.01.2024
Другие решения смотри тут: https://urokitv.net/10-Reshebnik_GDZ_Matematika_2_klass_Moro/
Urokitv.net это школьные учебники и решебники с 1-го по 11-й к...