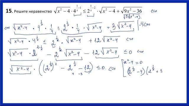
Разбор задания №15 варианта ЕГЭ № 347 Александр Ларин. Математика, профильный уровень. Наши курсы онлайн https://rabota-ln.ru/course-1-12
Решение зад...
Решения задач и упражнений из сборника Демидовича Б.П
АНТИДЕМИДОВИЧ
Демидович Б.П. - Сборник задач и упражнений по математическому анализу (12-е издан...
Power Series Representation for the Function f(x) = 3/(2x - 1) Centered at c = 2 and Interval
If you enjoyed this video please consider liking, sharing...
Наша группа ВК: ГДЗ Математика Алгебра - https://vk.com/4da5ru
Канал на YouTube: ГДЗ Математика 5 класс - https://www.youtube.com/channel/UCccZDzo2Kiip...
This is a series of videos related to practicing your musical instrument with a clave in 3-2.
I hope you have fun.
Thanks for liking, subscribing, and s...
https://lastresorttactic.com/products... - купить такую стенку можно тут
https://www.instagram.com/last_resort_tactics/?igshid=1r3s7lq7gjq7j и тут
Прив...
Видео решения задачи №82 по Математике 5 класс автора Виленкин Н.Я. Если ищете ГДЗ по Математике за 5 класс по учебнику Виленкина Н.Я., то ответы в виде...
Разбираем упражнение из учебника, входящего в серию "Перспектива"
Л. Ф. Климанова, Т. В. Бабушкина, Русский язык, 3 класс
Учебник для общеобразовательн...
Находим значение функции, по известному значению аргумента. Находим значение аргумента по известному значению функции.
Находим нули функции.
Рассматрив...
Вы можете проверить свои знания на сайте: https://eior.by/catalog_lecture/3-klass/belmova/20.php
Вы можете поддержать канал: ЕРИП: Банковские финансовы...
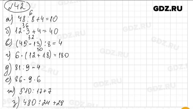
Видео решение к номеру 42 по математике за 5 класс, авторов И.И. Зубарева, А.Г. Мордкович
Более подробное гдз к этому заданию можно найти здесь http://g...
This video explains how to make reasonable estimates of fraction
sums and differences Grade 5. Lesson 6.3.
#fractions #fractionforkids #fractionsanddec...