#Я_В_СЕТИ
Официальный сайт - http://urengoi1.ru
Группа "В контакте" - https://vk.com/urengoi_1
Группа "Одноклассники" - http://www.odnoklassniki.ru/uren...
Видео решение к номеру 951 по алгебре за 9 класс, авторов Ю.Н. Макарычев, Н.Г. Миндюк, К.И. Нешков, С.Б. Суворова.
Более подробное гдз к этому заданию м...
Подписывайтесь на канал - https://www.youtube.com/channel/UC3qzAZZ51xvl9foham7WIMg/
Плейлист: § 28. Решение систем линейных уравнений методом сложения (...
Download this code from https://codegive.com
Archimedes, the ancient Greek mathematician, made significant contributions to the field of mathematics, a...
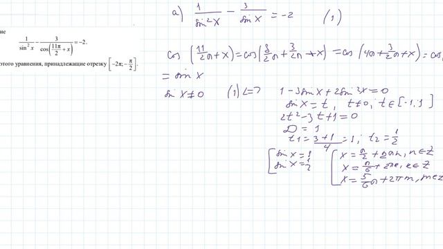
Разбор тренировочной работы №5 по математике для 11 класса от СтатГрада от 19.04.2019.
Вариант МА10510. 13 задание.
? Спасибо, что подписался на кан...
✅Подписывайся! На канале много полезного!
Купить камуфляжную сетку:
http://alii.pub/67l2gx
http://alii.pub/67l1co
http://alii.pub/67l2cg
Купить костюм л...
ПЕРЕЙТИ В МАГАЗИН С НОЖАМИ - https://goo.gl/qeeMjH
Доброкачественный кизлярский ножик — более, нежели элементарно кухонный инвентарь. Он полностью имее...
Запись на курс подготовки к ЕГЭ по профильной математике
t.me@DmitryKhazin
Первая труба наполняет резервуар на 54 минуты дольше, чем вторая. Обе трубы ...
Я вас приветствую на своём канале 'Охота БЕЗ ружья'. В этом видео я открыл сезон охоты на фазана и добыл первого трофея. Не будьте равнодушными, реагир...
Другие решения смотри тут: https://urokitv.net/
Urokitv.net это школьные учебники и решебники с 1-го по 11-й класс школы. Ждем ваших предложений и пож...