Канал: Умножение: секреты быстрого и точного вычисления 29.12.2023
В этом видео вы увидите прыжок с дома.В предыдущем видео вы можете увидеть где находиться этот дом на сервере Onyx.Перед открытием парашюта мой друг взл...
Канал: Умножение: секреты быстрого и точного вычисления 29.12.2023
Счёт от 1 до 20 по - английски для детей. Давно известно, что осваивать язык легче в игровой форме. Здесь можно научиться считать по-английски. Для этог...
Канал: Умножение: секреты быстрого и точного вычисления 29.12.2023
Другие решения смотри тут: https://urokitv.net/
Urokitv.net это школьные учебники и решебники с 1-го по 11-й класс школы. Ждем ваших предложений и поже...
Канал: Умножение: секреты быстрого и точного вычисления 29.12.2023
Всем приветик!Меня зовут Юля.Вы попали на мой канал)
Обо мне:Я живу в Иркутске)Мне 15 лет)Учусь в 9 классе)
Я в соц.сетях
МОЙ ВК https://vk.com/smoleva...
Канал: Умножение: секреты быстрого и точного вычисления 29.12.2023
Наша группа ВК: ГДЗ Математика Алгебра - https://vk.com/4da5ru
Канал на YouTube: ГДЗ Математика 5 класс - https://www.youtube.com/channel/UCccZDzo2Kiip...
Канал: Умножение: секреты быстрого и точного вычисления 29.12.2023
#ToysReview2! #Обзоригрушек2. Продолжение! Музыкальный домик, который рассказывает сказку #МашаИМедведь, учит алфавит и поет песни. Учит цифры и таблицу...
Канал: Умножение: секреты быстрого и точного вычисления 29.12.2023
This video is a compilation of my videos covering the tricks for the 12 to 20 times tables each. If you practice the tricks featured in this video, you ...
Канал: Умножение: секреты быстрого и точного вычисления 29.12.2023
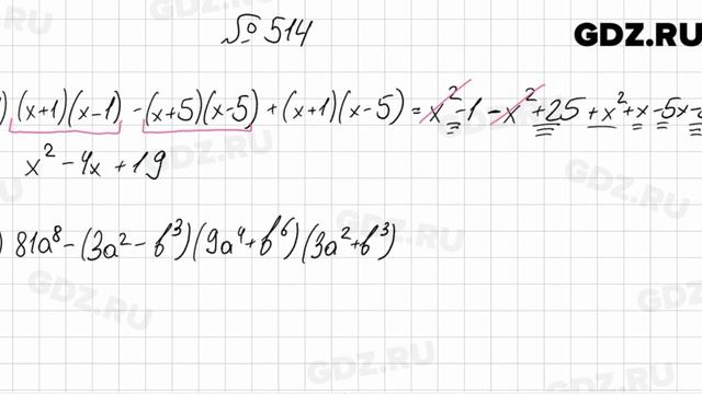
Видео решение к номеру 514 по алгебре за 7 класс, авторов А.Г. Мерзляк, В.Б. Полонский, М.С. Якир
Более подробное гдз к этому заданию можно найти здесь...
Канал: Умножение: секреты быстрого и точного вычисления 29.12.2023
Cientos de juegos online gratis para trabajar las matematicas con niños y niñas de infantil y primaria sobre todo. Sumas, restas, multiplicaciones, divi...
Канал: Умножение: секреты быстрого и точного вычисления 29.12.2023
Пожалуйста, задавай конкретные вопросы ("Андрей, я не могу выучить таблицу умножения, что делать?" или "Как решать задание на графики" или "Как понять э...