Immerse yourself in the tranquil beauty of the Bahamas, as seen from above, with our exquisite 4K UHD drone. As you glide over the stunning landscapes, ...
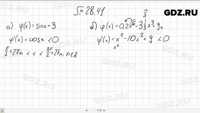
Видео решение к номеру 28.41 по алгебре за 10-11 класс, автор А.Г. Мордкович
Более подробное гдз к этому заданию можно найти здесь https://gdz.ru/class-...
Что может быть лучше? Лови БЕСПЛАТНЫЙ кейс по ссылке https://bit.ly/3we1pdg и получи 15% БОНУС по моему промокоду: PONYAAAASC22
Твич пони - https://ww...
В Набережных Челнах идет подготовка к открытию Летней ярмарки! Уже завтра, в павильоне у гипермаркета «Мегастрой», можно будет купить товары из разны...
❤️ Спасибо за просмотр ❤
Я немного забыла об это рубрике, по этому не выкладывала её 😅
Простите за это (
---------------------------------------------...
Для этой страшилки понадобилось 630 кадров!!!! Но всё же мне понравился результат. да у младшей дочери совсем не страшное лицо. Но я думаю сойдет для 1 ...