Если спазм аккомодации – ищите дисбаланс вегетативной нервной системы. Значит нужно улучшить приток крови. Как? Спорт на первое место, а школа на второе...
Математика 6 клас. Самостійна робота №29. Множення раціональних чисел. Переставна і сполучна властивості множення. Варіант 2.
1. Укажіть неправильну рі...
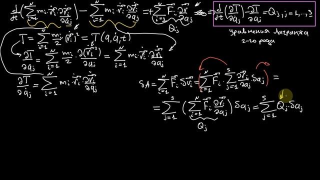
Перезапись второй половинки видео про системы со связями и уравнения Лагранжа https://youtu.be/Mdluq85h7mA. Можно увидеть некоторую аналогию между спосо...